보청기 기술이 일상생활에 미치는 영향 (1) - 환자의 관점

 

목적 및 대상 - Objectives

보청기를 권장할 때 보청기 제공자가 직면하는 과제 중 하나는 기기 기술 수준의 선택입니다.주요 제조업체들은 기본 기술부터 프리미엄 기술까지 다양한 보청기 제품군을 판매하고 있습니다.프리미엄 테크놀로지 보청기에는 기본적인 테크놀로지 기기에는 없는 음향 처리 기능(기능)이 포함됩니다.이러한 프리미엄 기능은 기본 기능 장치에 비해 일상 생활에서 청력을 향상시키는 것을 목적으로 합니다.그러나 기본 기능 장치에 비해 프리미엄 기능 장치의 증분 효과를 입증하는 독립적인 연구는 부족합니다.이 연구는 일상 생활에서 프리미엄 기능 보청기와 기본 기능 보청기를 사용하여 성인의 청각 능력의 보고된 차이를 탐구하기 위해 고안되었습니다.

 

설계 - Design

이것은 참가자가 실명하는 단일맹검(약·치료법의 내용을 피실험자는 모르고 하는 실험 방법)의 반복적인 교차 실험이었습니다. 모든 절차는 연구자의 편견을 제한하기 위해 신중하게 통제되었습니다. 45명의 참가자는 1개월 동안 조심스럽게 장착된 양쪽 보청기를 사용한 후 일상 생활에서 나타나는 청력 개선 또는 결함을 설명하는 데이터를 제공했습니다.일반적인 참가자는 70세였으며, 양쪽에서 경미하거나 중간 정도의 성인 청력 손실을 보였습니다.각 참가자는 4쌍의 보청기를 사용했습니다. 두 개의 주요 제조업체가 각각 판매하는 브랜드의 프리미엄 및 기본 기능 장치입니다. 참가자들은 자신이 사용하는 기기와 연구 질문에 블라인드 되었습니다.

[그림1] 참가자들의 평균 청력 임계값 (좌측X, 우측O) 막대 bar는 표준편차

 

분석은 세 가지 연구질문에 대한 선험적 가설, 즉 다음과 같은 가설에 의해 추진되었습니다.

1. 결과는 청자가 보청기를 착용하지 않았을 때보다 청자가 보청기를 착용했을 때 더 나을 것이다.
2. 두 브랜드의 기본 기능 보청기를 합친 것보다 프리미엄 기능 보청기가 더 효과적이다.
3. 각 브랜드별 기본 기능 보청기보다 프리미엄 기능 보청기가 더 효과적이다.

 

연구가 보청기 기술적 특징의 기능에 초점을 맞출 때, 결과는 엄격하게 통제된 실험실 조건에서 측정하는 것이 일반적입니다. 이러한 조건은 일상 청취 시뮬레이션을 시도하거나 검사 중인 기능을 강조 표시하도록 설계될 수 있습니다. 이러한 유형의 연구는 청각 장애가 있는 청취자를 위해 이 기능의 잠재적 가치를 확립하기 위해 중요하고 필요한 단계입니다. 그럼에도 불구하고, 실험실 조건에서 시험 점수를 향상시키는 소리 처리가 일상생활에서 유용할 수도 있고 그렇지 않을 수도 있다는 것은 잘 알려져 있습니다.

 

모든 결과는 보청기의 이점에 대한 참가자의 관점을 반영하도록 설계되었습니다. 청력 관련 삶의 질 변화, 보청기와의 일상 청력에 대한 6가지 긍정적인 표현에 대한 동의 정도, 각 브랜드의 프리미엄 기능과 기본 기능 장치 간의 선호도 및 4가지 연구 보청기 모두를 합친 보고 데이터 유형 3가지가 수집되었습니다.

 

결과 - Results

이러한 조치들 중 어떤 것도 프리미엄 기능과 기본 기능 장치 사이의 결과에서 통계적으로 유의한 차이를 보이지 않았습니다. 청력 관리대상 환자들이 프리미엄 기능을 갖춘 보청기를 구입하기 위해 수천 달러를 추가로 지불한다면, 기본적으로 그들 모두가 기본 기능 장치보다 구입한 장치에서 더 나은 성능을 기대하게 될 것입니다. 그러나 성능은 명백하게 미미한 수준이었습니다. 참가자들은 어떠한 측정도 프리미엄 처리로 더 나은 결과를 보고하지 않았습니다.

 

[그림2] 각 보청기를 일상생활에서 사용할 때 보청기와 관련된 삶의 질 변화. 각 원의 크기는 해당점수를 준 피실험자의 수에 비례

 

궁극적으로, 프리미엄 기능과 기본 기능 보청기 사이의 전체적인 차이를 나타내는 지표가 없기 때문에 계산 효과 크기에 대한 근거는 없었습니다. 보고된 결과를 검토한 결과, 두 개의 기본 장치와 두 개의 프리미엄 장치를 결합했을 때, 참가자가 일상 경험을 보고함으로써 도출한 측정치에 의해 기술 수준 간에 차이가 없음을 알게되었습니다.

 

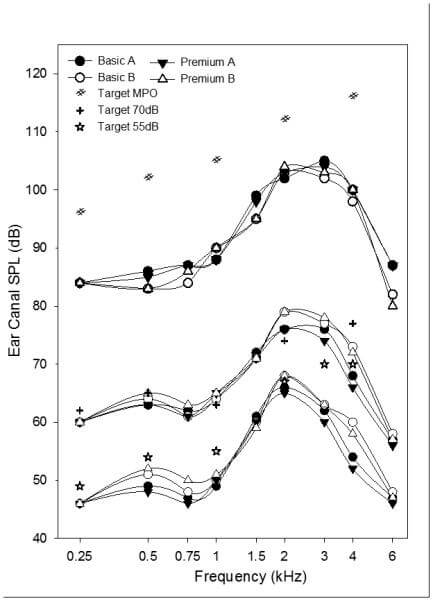
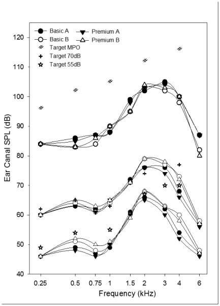
[그림3]  모든 미세조정 후, 최종 보청기에 대한 평균 리얼이어 응담반응(좌측귀). 하위, 중위, 상위 곡선 세트(set)는 각각 85dB SPL에서 작은소리(55dB SPL), 중간소리(70dB SPL) 및 큰소리에대한 결과를 나타냄, 브랜드A는 진한색기호, 브랜드B는 투명한 기호로 나타냄.

 

상단의 그림3은 모든 미세조정 후 최종 보청기 부속품에 대한 평균 실제 귀(리얼이어) 보조 응답을 나타냅니다. 그림은 NAL-NAL2 처방 대상과 다른 정도를 보여줍니다. 주목할 점은 평균 음성 입력에 대한 미세조정 증폭(중간소리 set)이 처방목표와 상당히 일치한 반면, 작은소리 입력(작은소리 set -그림의 최하단 곡선set)에 대한 미세조정 피팅은 대부분의 주파수에서 목표보다 상당히 낮았습니다. 또한 일반적으로 발견된 바와 같이 모든 평균 최대 출력 수준은 이론적인 목표치보다 상당히 낮았습니다.

 

[그림4] 각 패널은 6개의 설문지중 1개 항목에 대한 답변을 나타냄, 각 참가자의 기본기능과 프리미엄 기능에 대한 점수를 나타냄.

 

위의 그림4에서 나타난 바와 같이, 기본 테크놀로지 디바이스와 프리미엄 테크놀로지 디바이스의 차이는 브랜드별로 일관성이 있었는지 여부에 대해 브랜드 A와 브랜드 B에 대한 기본 보청기와 프리미엄 보청기를 별도로 비교한 통계 결과에서 두 브랜드의 패턴이 동일했습니다. 일반적인 참가자의 관점에서는 이 연구에 사용된 보청기는 모두 매우 도움이 되었지만, 일상생활에서의 효과 면에서 두 특징 수준 간에 뚜렷한 차이는 없었습니다.

 

일부 보청기 제공자(제조사)들은 보청기 착용자들이 보청기를 실제로 더 효과적으로 만들지만, 그러한 보청기 기능들의 장점을 단순히 인식하지 못한다고 주장할 수 있습니다. 다른 사람들은 보청기를 착용하는 사람들이 주의 깊게, 정보를 얻고, 주의를 기울여 비교한 후, 기본 기능과 프리미엄 기능 장치 사이의 일관된 차이를 감지하지 못한다면, 아마도 그러한 개인에게 중요한 차이는 없을 것이라고 생각할 수 있기 때문입니다.

 


 

이 기사는 성인의 경도에서 중간 정도의 청력 상실을 가진 사람에 의해 실제 세계에서 다양한 수준의 보청기 기술이 사용될 때 예상되는 것에 대한 환자와 청각 의료 제공자에게 중요한 증거를 제공합니다. 대표적인 두개의 주요 보청기 브랜드의 데이터를 일상 생활에서 일반적인 보청기 착용자의 관점에서 조사했을 때, 프리미엄 기능 엔지니어링 기술을 구입하는 데 드는 상당히 높은 비용이 일반적으로 전체적인 효과에서 유의미한 증분 이득을 가져오지 않았을 것으로 보입니다.

 

원문출처 : NIH

<Impact of Hearing Aid Technology on Outcomes in Daily Life I: The Patients' Perspective>

 

 

이편한보청기 청각센터 문의,상담 (전화연결) 031-994-2544

 


 

[이편한보청기 일산청각센터 찾아오시는 길]

일산동 보청기, 주엽동 보청기, 대화동 보청기, 마두동 보청기, 백석동 보청기, 장항동 보청기

 


방문예약을 남겨주신 분들께는 추가 할인혜택을 제공해드립니다.

댓글

Designed by JB FACTORY